如果你想知道地球周围包裹着的这团气体为我们默默地做了什么,你就要思考没有它们的世界是什么样子
就在现在,地球的温度对人类来说非常完美,大约13.9℃,或者说57℉。是的,这比我们一般说的“室温”大约20℃低得多了,但要记得,这是对于整个星球来说的。这个平均温度包括了所有的海洋和极地地区的地表温度。所以也许13.9℃也没有那么冷,不是吗?
当然,现在还有一个坏消息,伴随着人类向大气中排放越来越多的温室气体,例如二氧化碳等,造成气候变化,地球的温度正在缓慢地升高。温室效应就是指气候变化引起的地表温度上升。

图源 RHETT ALLAIN
太阳辐射的能量
太阳是一个巨大的由气体构成的球,她将相对较小的原子撞击在一起形成更大的原子。这个过程产生大量的能量,我们称之为核聚变(正如我们在这篇文章中讲的那样)。这些能量如此巨大以至于我们周围没有什么东西像太阳表面那样热(如果你想了解具体的数据话,那就是 5500℃)。
太阳表面以电磁波的形式向外辐射能量,其中处于可见光的频率范围内的那一部分就是我们看见周围事物所需要的太阳光。太阳的燃料足够维持这种状态50亿年。但是,与其考虑太阳可以放出的总能量,不如看看她的功率。
现在我们很快地了解一下能量和功率的区别:如果你将一本书从地上捡起来放到桌子上,你大约要消耗10焦耳能量。现在你应该对焦耳这个能量的单位有所了解。
功率是使用能量的速率。可以用能量除以消耗这部分能量所需要的时间来计算功率。如果你捡起这本书需要1秒,那么可以计算你的功率是10焦耳/1秒——10焦耳每秒,也就是10瓦。但假设你花了不少时间,用10秒钟把书搬到了桌子上。尽管需要的能量仍然是10焦耳,但功率只有1瓦。作为比较,你房间里的LED灯的功率可能是15到20瓦。
太阳的功率是多少呢?太阳输出的功率是3.8×1026瓦(如果这里不用科学计数法,相信没有人会愿意去数零的)。我们只需要知道,这是一个相当大的功率。

图源 pixabay
但是这是太阳的总输出功率。如果你在一个距离太阳有一定距离的行星上,行星仅能接收到一小部分的太阳输出功率。这时候辐射强度的概念就变得有用起来。想象有一个环绕太阳的球体,它可以接收太阳产生的全部能量。如果这个球的半径变为原来的两倍会发生什么呢?太阳发出的功率仍然是相同的,但它将分布在更大的面积上,意味着强度更低了。
我们可以用总输出功率除以这些功率所分布的面积来计算强度:

这就是太阳光的强度,单位是瓦每平方米(W/m2)。为什么这里会出现4π? 这是因为球的表面积是4πr2,这里r是球的半径。
我们来代入数据进行计算。太阳到地球的距离是1.496亿千米(我们称这个距离为一个天文单位, 1AU)。利用太阳总输出功率是3.8×1026瓦,算出地球上接收到的太阳辐射的强度是1396瓦每平方米。
火星上的太阳辐射强度是多少呢?火星的公转轨道半径大约是1.5AU,可以算出太阳光强度只有600瓦每平方米。
在离太阳更近的水星上,太阳辐射强度是8445瓦每平方米。
吸收和放出辐射
来自太阳的光(还有各个波段的辐射)落在地球表面上。这些辐射造成地球表面的温度升高,这是需要能量的。我们关心的不是总能量(你很快就会知道原因),而是功率,地球每秒吸收的能量。这当然和地球的大小有关,因为物体越大吸收的太阳辐射越多。
尽管地球近似是一个球体,地球面对太阳的部分看起来是一个圆。让我们把地球接收到的功率记为Pin,得到这样的公式:

在这个表达式中,I是太阳辐射强度,R是地球半径。
但等一下,上面这个公式不对!这里假设所有到达地球的光都被吸收了,成为 "能量输入 "的一部分。但事实并非如此。一部分的入射太阳光被吸收了,但还有一部分被反射了。如果你曾经比较过在太阳下穿着白色和黑色T恤的区别,你就应该很容易理解这件事,毕竟穿黑色T恤在太阳下更暖和(或者热)。
我们定义行星的反射率为被行星表面反射出去的光的比例,用希腊字母α表示。这是一个无量纲数,取值范围在0到1之间,0表示的是没有反射光的黑体,1表示完全反射来自太阳(或者其它地方)的所有辐射。还是拿我们的T恤来举例,0就像穿着梵塔黑(世界上最黑的物体) T恤,1就像穿着镜子制成的T恤。
对于地球表面,反射率大约0.3,不妨将其称为浅灰色T恤。这样,我们可以修改我们的输入功率公式为:

要记得我们想要的是没有被反射的那部分,这就是为什么表达式中是1-α。
因为地球吸收太阳辐射,它的温度逐渐上升。但是如果能量只是单向传播,那么地球温度将持续升高直到有一天地表熔化成岩浆(这将是很糟糕的)。当然,地球不会一直升温,因为地球也是一个热辐射源。当物体变热时,它们会产生辐射。太阳光加热了地球,然后地球将部分热量辐射回太空。
实际上,即便不那么热的物体也会辐射电磁波。这些电磁波可能不在可见光波段,但是你可以借助红外相机看到它们。
随着地球被太阳光加热,地球要辐射出更多能量(我们把这个称为总输出功率)。最终,地球将达到这样平衡温度,在这个温度下吸收太阳光的功率等于地球因自身温度而辐射出的功率。

这里我们说明关于物体发光我们需要知道的两件事情。让我们以白炽灯泡为例,改变输入功率升高灯丝温度,正如我们使用调光开关作用是一样的。如下图,左边的灯泡比右边的灯泡温度更低。

图源 RHETT ALLAIN
随着温度升高,有两件事情发生改变。首先,温度更高的灯泡更亮,发出更多光,因为它的总输出功率更大。其次,发光的颜色也会发生改变,温度更高的灯泡发出更短波长的光——例如紫色和蓝色的光——而温度更低的灯泡主要发出波长更长的光,例如红光和橙红色光。
我们已经有一个表达式用来计算太阳辐射到地球的功率。现在我们只是需要一些东西来告诉我们太阳辐射出的总功率。这正是斯忒藩-玻尔兹曼(Stefan-Boltzman)定律所解决的问题。这个公式告诉我们物体热辐射强度的温度之间的关系。它长这个样子:

这里,T是物体以开尔文为单位的温度,这样我们就不需要处理负温度,被称为斯忒藩-玻尔兹曼常量。
公式中的最后一个字母——被称为辐射率。它是取值0到1之间的无量纲数。一个完美的热辐射体的辐射率是1,而一个不发出热辐射的物体的辐射率是0。对于地球,我们假设它的辐射率是0.9,因为地球不同区域有着不同的表面。
上面的关系给出了热辐射的强度, 但是我们需要功率。让我们回忆强度是单位面积的功率。这意味着,地球辐射出的功率就等于斯忒藩-玻尔兹曼定律给出的强度乘以地球表面积。因为地球是个球体,表面积是4πR2。
还有一件重要的事情:地球只有一面被太阳加热,截面是一个圆形,但是它利用球形表面朝向所有方向辐射热量。于是我们的功率方程变成:
![]()
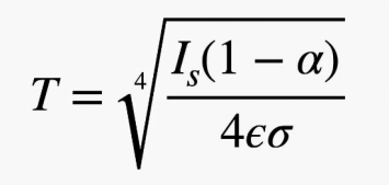
是的,我知道它看起来很杂乱,但是这个方程并不糟糕。它只是在说来自太阳的输入功率(等号左边)等于输出功率 (等号右边)。注意到等号两边都有一个R2项,所以它们可以约掉,π也是一样。现在我们只需要解出温度T。借助一点简单的数学知识,我们得到:

有了这个表达式,我们可以将我们的数据代入来计算没有大气层的情况下地球的温度。读者们,请打开你们的计算器或者Python然后敲进所有数据。你应该会得到一个表面温度大约260.9K或者说零下13.2℃。
完结撒花,但是还有两点注记。这只是地球的表面温度。因为从太阳来的光只是落在地球表面,地球也只是从表面上向外辐射能量,这里忽略了任何表面与地球熔融内核之间的相互作用。
此外,注意到实际的地球平均温度(13.9℃)冷了许多——低了27.1℃。这是因为地球实际上不是一个裸的岩石。相反,我们有一个令人敬畏的大气层保护着我们不至于在那样寒冷的世界里生活。
在这样的低温下地球将会是什么样子呢。地球上已经有些地方温度远远低于平均温度,这样的地方大多在南极,可以达到低于零下90℃。并且尽管只有少数科学家在南极的基地里生活,但在加拿大的育空地区、阿拉斯加和西伯利亚却长期有人居住,这些地方的温度可以低于零下60℃。因此,我们不应该仅仅根据温度就认为较冷的地球不适合人类或其他形式的生命居住,但它们中的大多数可能会聚集到地球较温暖的地区。(要记得-13.2℃是平均温度,正如今天的地球一样,两极地区要比赤道地区冷。没有大气的南北极会比现在更冷。)
因为平均温度-13.2℃意味着行星上更多地方将处于冰点(0℃)以下,更多的水将会以冰的形式存在。此外,温度高于平均的地区将存在液态水,这与大气压有关。
令人惊讶的是,你仍然需要一个冰箱来存放食物和饮料。然而,这个冰箱不再用于将物品保持在低温下,相反,它将用于将物品与外界的温度隔绝开以防止东西结冰。
地球仍将比平均温度-63℃的火星暖和。但是火星有些其它问题使他不适合人类居住。火星大气非常稀薄并且含有极少量的氧气。如果没有大气层,地球也会有这个问题。如果有生活在这样环境中的生物,它们需要演化出不需要氧气的形式——人类作为游客则需要某种形式的宇航服用于呼吸和保护。
幸运的是对于我们地球人,地球确实是有大气层的,它主要是氮气但也有充足的氧气,并且有0.04%的二氧化碳(体积比)。二氧化碳和水吸收地球表面辐射的红外线,将温度保持在一个人们可以接受的范围内——至少现在是这样。
但是二氧化碳是一个日渐增长的问题。过多的二氧化碳意味着大气将达到更高的温度,导致气候变化带来的所有可能问题,包括冰川熔化、海平面上升和极端天气。这就是为什么《巴黎气候协定》的国际目标是将升温幅度控制在比工业化前水平高1.5 ℃的范围内——而坏消息是,过去九年是有记录以来最热的时期。如果气温继续攀升,地球将不再适合人类或地球上的许多其他生物生存。
作者:RHETT ALLAIN
翻译:利有攸往
审校:扫地僧
原文链接:https://www.wired.com/story/what-would-earths-temperature-be-like-without-an-atmosphere/
翻译内容仅代表作者观点